Seguir
19
0
6
prof.grings
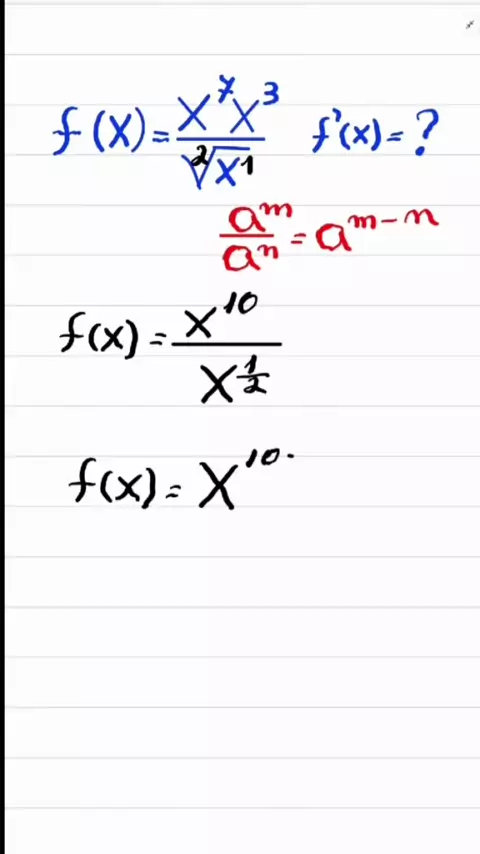
š DERIVADAS usando as regras de Potenciação !! #derivadas #calculo #Grings ##potenciacao
Mais
Comentar
Cancelar
Enviar